[问题2018A03]18级高代1每周一题第3题

用户头像
来自复旦大学-谢启鸿发布于:2018-11-14 14:34:57

注意  请在下面跟贴提交自己的解答。研究生助教张洵或我会进行批改。

点赞 (2) 回复
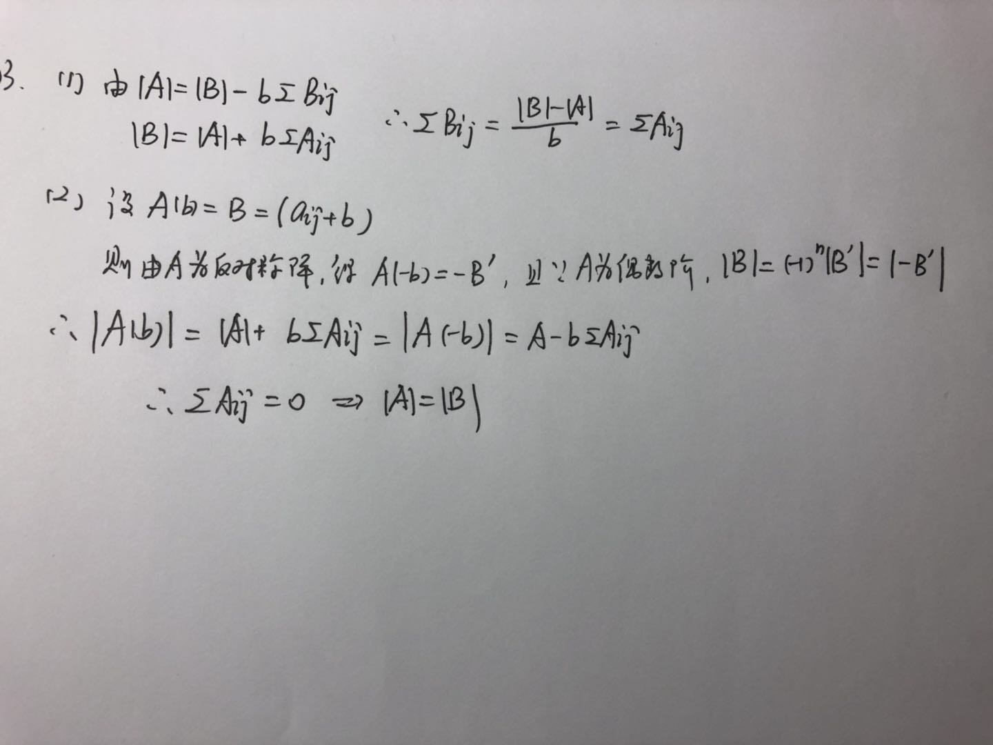
1F 用户头像
来自龚畅发布于:2018-11-14 23:19:19

用户头像
复旦大学-张洵 2018-11-15 18:12:46

正确

加载更多
点击图片
取消
回复
2F 用户头像
来自复旦大学-陈钦品发布于:2018-11-18 23:38:07

用户头像
复旦大学-谢启鸿 2019-02-26 08:24:58

正确。

加载更多
点击图片
取消
回复
3F 用户头像
来自复旦大学-周驰骋发布于:2018-11-19 21:49:12

用户头像
复旦大学-谢启鸿 2019-02-26 08:25:19

正确。

加载更多
点击图片
取消
回复
4F 用户头像
来自谢永乐发布于:2019-02-18 19:34:34

用户头像
复旦大学-谢启鸿 2019-02-26 08:25:30

正确。

加载更多
点击图片
取消
回复
5F 用户头像
来自复旦大学-丁思成发布于:2019-02-21 08:16:43

用户头像
复旦大学-谢启鸿 2019-02-26 08:25:40

正确。

加载更多
点击图片
取消
回复
6F 用户头像
来自复旦大学-陈柯屿发布于:2019-02-22 22:00:31

加载更多
点击图片
取消
回复
7F 用户头像
来自李哲蔚发布于:2019-02-24 14:01:49

加载更多
点击图片
取消
回复
8F 用户头像
来自周烁星发布于:2019-02-24 20:46:46

加载更多
点击图片
取消
回复
9F 用户头像
来自复旦大学-陈宇杰发布于:2019-02-25 13:54:08

加载更多
点击图片
取消
回复
10F 用户头像
来自复旦大学-郭都发布于:2019-02-25 18:02:37

加载更多
点击图片
取消
回复
发布回复
点击图片