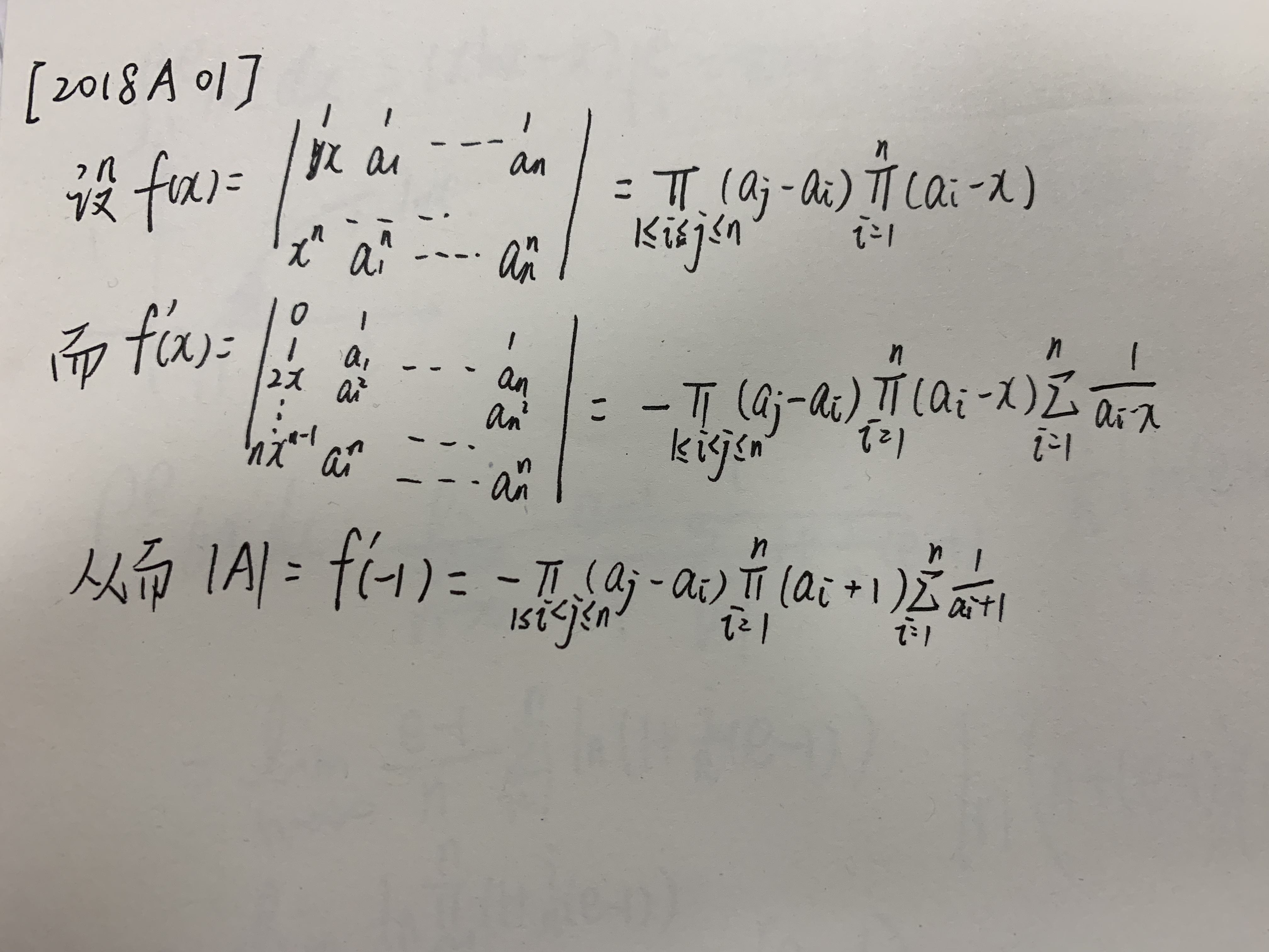
[问题2018A01]18级高代1每周一题第1题

用户头像
来自复旦大学-谢启鸿发布于:2018-11-14 14:33:27

注意  请在下面跟贴提交自己的解答。研究生助教张洵或我会进行批改。

点赞 (3) 回复
1F 用户头像
来自复旦大学-陈钦品发布于:2018-11-16 18:54:22

用户头像
复旦大学-张洵 2018-11-16 22:33:50

正确。但是有两个小问题,一是求导时漏掉了负号,二是n=1时最好单独讨论。

加载更多
点击图片
取消
回复
2F 用户头像
来自复旦大学-彭子昂发布于:2018-11-17 12:40:40

用户头像
复旦大学-张洵 2018-11-18 12:01:58

正确,不过符号好像还是不对(?)

加载更多
点击图片
取消
回复
3F 用户头像
来自陈志恒发布于:2018-11-17 23:51:22

用户头像
复旦大学-张洵 2018-11-18 12:02:50

正确

加载更多
点击图片
取消
回复
4F 用户头像
来自谢永乐发布于:2019-02-18 19:33:49

用户头像
复旦大学-谢启鸿 2019-02-26 08:27:36

正确。

加载更多
点击图片
取消
回复
5F 用户头像
来自复旦大学-王捷翔发布于:2019-02-19 13:17:53

加载更多
点击图片
取消
回复
6F 用户头像
来自复旦大学-陈柯屿发布于:2019-02-22 21:58:14

加载更多
点击图片
取消
回复
7F 用户头像
来自李哲蔚发布于:2019-02-24 13:58:29

加载更多
点击图片
取消
回复
8F 用户头像
来自周烁星发布于:2019-02-24 20:47:30

加载更多
点击图片
取消
回复
9F 用户头像
来自复旦大学-陈宇杰发布于:2019-02-25 13:50:40

加载更多
点击图片
取消
回复
10F 用户头像
来自复旦大学-郭都发布于:2019-02-25 17:53:12

加载更多
点击图片
取消
回复
11F 用户头像
来自复旦大学-丁思成发布于:2019-02-26 08:55:14

n为0,1时平凡

用户头像
复旦大学-谢启鸿 2019-02-26 09:05:48

正确。

加载更多
点击图片
取消
回复
发布回复
点击图片